mRNA疫苗因其高效诱导抗体产生和T细胞反应,在COVID-19大流行期间得到广泛应用。然而,疫苗接种后的不良反应,如疲劳和发热,成为公众接受度的关键障碍。mRNA疫苗的免疫原性和反应原性很大程度上取决于其脂质纳米颗粒(LNP)递送系统的性能。LNP不仅保护mRNA免受降解,促进细胞摄取和胞质递送,还激活先天免疫系统,作为佐剂增强抗原特异性免疫应答,但同时也可能诱发过度炎症反应。近日,日本大阪大学Yasuo Yoshioka团队在ACS NANO发表名为“Modulating Immunogenicity and Reactogenicity in mRNA-Lipid Nanoparticle Vaccines through Lipid Component Optimization”的研究。研究通过优化LNP配方,以最小化反应原性,同时维持强效的抗原特异性免疫应答。

Figure 1. 示意图
01
实验结果
1.1 PEG脂质链长对体内蛋白表达、免疫应答及不良反应的影响:
研究评估了不同链长PEG脂质(PEG1k-DMG、PEG2k-DMG、PEG5k-DMG)对mRNA-LNP疫苗在体内蛋白表达的影响。实验结果显示,在注射后6小时和24小时,不同链长PEG脂质修饰的LNP在胫骨前肌(TA)、引流淋巴结(dLN)、脾脏和肝脏中的荧光素酶(FLuc)活性无显著差异。这表明PEG链长的变化在短期内对mRNA在体内的表达位置和水平影响不大(图2B, C)。
进一步分析表明,缩短PEG链长显著增强了抗原特异性免疫应答。具体而言,与PEG2k-LNP相比,PEG1k-LNP在第二次免疫后第14天和第28天诱导了更高的S蛋白特异性IgG、IgG1和IgG2b抗体水平(图2D)。同时,PEG1k-LNP还显著增加了S蛋白特异性CD8+ T细胞的数量(图2F)。这些结果表明,缩短PEG链长能够增强mRNA-LNP疫苗的免疫原性。

Figure 2. Effect of chain length of PEG on in vivo protein expression and immune responses induced by mRNA-LNPs.
不良反应评估显示,与PEG2k-LNP相比,PEG1k-LNP在注射后6小时诱导了更高水平的炎症细胞因子(如IFN-α、IFN-β、TNF-α、IL-6等)(图3A)。这些结果提示,缩短PEG链长虽然增强了免疫应答,但也增加了疫苗的反应原性。

Figure 3. Effect of chain length of PEG on inflammatory cytokine production and adverse reactions induced by mRNA-LNPs.
1.2 PEG脂质摩尔比对体内蛋白表达、免疫应答及不良反应的影响:
研究还评估了不同PEG脂质摩尔比(0%、0.5%、1.5%)对mRNA-LNP疫苗体内蛋白表达的影响。实验结果显示,在注射后6小时和24小时,不同PEG脂质摩尔比的LNP在各组织中的FLuc活性无显著差异(图4B, C)。这表明PEG脂质摩尔比的变化在短期内对mRNA体内表达的影响较小。
免疫应答分析表明,降低PEG脂质摩尔比显著增强了抗原特异性免疫应答。与1.5% PEG-LNP相比,0%和0.5% PEG-LNP在第二次免疫后诱导了更高的S蛋白特异性IgG、IgG1和IgG2b抗体水平(图4D)。同时,0%和0.5% PEG-LNP还显著增加了S蛋白特异性CD8+ T细胞的数量(图4F)。这些结果表明,降低PEG脂质摩尔比能够增强mRNA-LNP疫苗的免疫原性。

Figure 4. Effect of molar ratio of PEG-lipid on in vivo protein expression and immune responses induced by mRNA-LNPs.
不良反应评估显示,与1.5% PEG-LNP相比,0%和0.5% PEG-LNP在注射后6小时诱导的炎症细胞因子水平显著降低(图5A)。值得注意的是,0% PEG-LNP虽然不诱导抗PEG抗体产生,但其颗粒稳定性较差,这可能限制了其临床应用。

Figure 5. Effect of molar ratio of PEG-lipid on inflammatory cytokine production and adverse reactions induced by mRNA-LNPs.
1.3 胆固醇类似物替代对体内蛋白表达、免疫应答及不良反应的影响:
研究评估了用植物甾醇(豆甾醇、β-谷甾醇、菜籽甾醇)替代胆固醇对mRNA-LNP疫苗体内蛋白表达的影响。实验结果显示,在注射后6小时和24小时,不同胆固醇类似物修饰的LNP在各组织中的FLuc活性无显著差异(图6B, C)。这表明胆固醇类似物的替代在短期内对mRNA体内表达的影响较小。
免疫应答分析表明,胆固醇类似物替代诱导了与胆固醇LNP相似的抗原特异性免疫应答。具体而言,豆甾醇-LNP和β-谷甾醇-LNP在第二次免疫后诱导了与胆固醇-LNP相当的S蛋白特异性IgG、IgG1和IgG2b抗体水平(图6D)。同时,这些胆固醇类似物-LNP也诱导了相似水平的S蛋白特异性CD8+ T细胞反应(图6F)。

Figure 6. Effect of replacement of cholesterol with naturally occurring cholesterol analogs on in vivo protein expression and immune responses induced by mRNA-LNPs
不良反应评估显示,与胆固醇-LNP相比,豆甾醇-LNP和β-谷甾醇-LNP在注射后6小时诱导的炎症细胞因子水平显著降低(图7A)。同时,豆甾醇-LNP组小鼠的体温升高也显著减少(图7B)。这些结果提示,胆固醇类似物的替代能够降低mRNA-LNP疫苗的反应原性。

Figure 7. Effect of replacement of cholesterol with naturally occurring cholesterol analogs on inflammatory cytokine production and adverse reactions induced by mRNA-LNPs.
1.4 磷脂替代对体内蛋白表达、免疫应答及不良反应的影响:
研究评估了用DOPC或DOPE替代DSPC对mRNA-LNP疫苗体内蛋白表达的影响。实验结果显示,在注射后6小时,DOPC-LNP在引流淋巴结、脾脏和肝脏中的FLuc活性降低,而DOPE-LNP仅在引流淋巴结中的活性降低(图8B)。在注射后24小时,DOPC-LNP在胫骨前肌、脾脏和肝脏中的FLuc活性也降低(图8C)。这些结果表明,磷脂替代可能影响mRNA在体内的分布和表达。
免疫应答分析表明,磷脂替代诱导了与DSPC-LNP相似的抗原特异性免疫应答。具体而言,DOPC-LNP和DOPE-LNP在第二次免疫后诱导了与DSPC-LNP相当的S蛋白特异性IgG、IgG1和IgG2b抗体水平(图8D)。同时,这些磷脂替代-LNP也诱导了相似水平的S蛋白特异性CD8+ T细胞反应(图8F)。这些结果表明,磷脂替代能够在不显著降低免疫原性的情况下进行。

Figure 8. Effect of replacement of phospholipid on in vivo protein expression and immune responses induced by mRNA-LNPs. (A-i) Chemical structures of DSPC, DOPC, and DOPE.
不良反应评估显示,与DSPC-LNP相比,DOPC-LNP和DOPE-LNP在注射后6小时诱导的炎症细胞因子水平显著降低(图9A)。同时,这些磷脂替代-LNP组小鼠的体温升高也显著减少(图9B)。这些结果提示,磷脂替代能够降低mRNA-LNP疫苗的反应原性。

Figure 9. Effect of replacement of phospholipid on inflammatory cytokine production and adverse reactions induced by mRNA-LNPs.
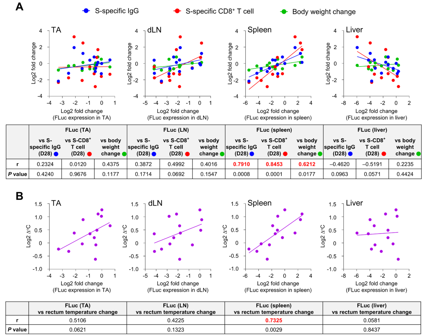
1.5 相关性分析:
蛋白表达与免疫反应的正相关:分析显示,脾脏中的FLuc(荧光素酶)表达水平与S特异性IgG抗体的产生、S特异性CD8+T细胞诱导之间存在显著的正相关。这意味着,当mRNA-LNP在脾脏中表达较高水平的蛋白时,机体产生的特异性抗体和T细胞反应也更强。
蛋白表达与不良反应的正相关:脾脏中的FLuc表达水平还与发热反应显著正相关。
这表明,脾脏中较高的蛋白表达水平可能伴随着更强的免疫激活,从而引发更明显的发热反应。其他器官蛋白表达与免疫反应和不良反应的无显著相关。
与脾脏不同,其他器官(如注射部位、引流淋巴结、肝脏)中的FLuc表达水平与S特异性IgG产生、S特异性CD8+T细胞诱导、发热及体重变化之间无显著相关性。

Figure 10. Correlation between in vivo protein expression and immune responses and adverse reactions.
02
讨论
本研究表明,通过调整PEG脂质、胆固醇和磷脂的组成与结构,可显著影响mRNA-LNP疫苗的免疫原性与反应原性。缩短PEG链长度和降低PEG脂质摩尔比,增强了免疫应答,同时减少了不良反应。这可能与PEG的立体阻碍效应减弱有关,从而提高了免疫细胞的捕获和内化效率。植物甾醇和特定结构的磷脂替代,亦能诱导相似的免疫应答,同时降低不良反应,这可能与它们的抗炎症生物活性有关。值得注意的是,脾脏中的蛋白表达与免疫应答和不良反应密切相关。这可能是因为脾脏作为次级淋巴器官,富含抗原呈递细胞,如树突状细胞和巨噬细胞,能够高效捕获和处理LNP递送的抗原,从而增强免疫应答。同时,脾脏中的免疫细胞对LNP的识别也可能触发炎症细胞因子的产生,导致不良反应。
参考文献:Modulating Immunogenicity and Reactogenicity in mRNA-Lipid Nanoparticle Vaccines through Lipid Component Optimization. https://doi.org/10.1021/acsnano.5c10648